为进一步做实、做细农村适龄妇女宫颈癌、乳腺癌(以下简称“两癌”)筛查民生实事,着力提高农村适龄妇女“两癌”筛查服务质量,切实改善民生,提升妇女健康水平,根据《达州市卫生健康委员会 达州市财政局 达州市妇女联合会关于印发2024年农村适龄妇女免费“两癌”筛查项目实施方案的通知》(达市卫函〔2024〕68号)要求,结合宣汉县实际,特制订本方案。
一、工作目标
(一)总体目标。坚持预防为主、防治结合、综合施策,以农村适龄妇女为重点,为农村适龄妇女提供免费“两癌”筛查服务,促进“两癌”早诊早治,提高妇女健康水平。
(二)具体目标
1.2024年为全县10000名35—64岁农村妇女免费提供宫颈癌和乳腺癌筛查服务。9月底前完成年度筛查目标任务(见附件1)。
2.普及“两癌”免费筛查政策和核心防治知识,提高妇女“两癌”防治意识,农村适龄妇女“两癌”防治核心知识知晓率达50%以上。
3.创新宫颈癌筛查模式,完善乳腺癌筛查模式,提高筛查质量和效率,宫颈癌筛查早诊率达到90%以上,乳腺癌筛查早诊率达到65%以上。
二、实施范围和服务对象
全县一个周期内(2022年—2024年)未参加过免费“两癌”筛查的10000名35—64岁农村妇女(见附件1)。
三、项目内容
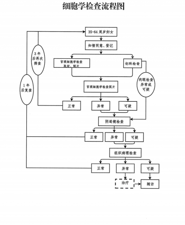
(一)宫颈癌筛查
1.妇科检查。包括询问病史、外阴及阴道检查、盆腔检查及阴道分泌物检查。
2.宫颈癌初筛。宫颈细胞学检查。包括取材、制片及阅片,采用子宫颈/阴道细胞学TBS(TheBethesdaSystem)报告系统对宫颈细胞进行评价。原则上每3年筛查一次。
3.阴道镜检查。对宫颈细胞学检查初筛结果异常或可疑者、其他高危型阳性且细胞学结果异常或可疑者以及肉眼检查异常者进行阴道镜检查。
4.组织病理学检查。对阴道镜检查结果异常或可疑者进行组织病理学检查。
细胞学检查流程图见附件2。
(二)乳腺癌筛查
1.乳腺体检和乳腺彩超检查。对妇女进行乳腺视诊、触诊和乳腺彩超检查,乳腺彩超检查结果采用乳腺影像报告和数据系统(以下简称BI—RADS分类))进行评估。乳腺彩超检查BI—RADS分类结果为1类或2类者,原则上每2—3年筛查一次;结果为0类或3类者,进行乳腺X线检查;结果为4类或5类者,进行活检及组织病理学检查。
2.乳腺X线检查。乳腺X线检查BI—RADS分类结果为1类或2类者,遵医嘱定期复查;结果为0类或3类者,由副高以上专科医生综合评估后进行短期随访、活检及组织病理学检查或其他检查;结果为4类或5类者,进行活检及组织病理学检查。
乳腺癌筛查流程图见附件3。
(三)异常或可疑病例随访管理
宫颈癌筛查异常或可疑病例主要包括宫颈细胞学检查TBS报告结果为未明确意义的不典型鳞状上皮细胞(以下简称ASC—US)及以上者、肉眼检查异常或可疑者,阴道镜检查异常或可疑者以及组织病理学检查结果为宫颈高级别病变及以上者;乳腺癌筛查异常或可疑病例主要包括乳腺体检异常或可疑者,乳腺彩超检查BI—RADS分类为0类或3类及以上者,乳腺X线检查BI—RADS分类为0类或3类及以上者,病理学检查为小叶原位癌、导管原位癌、浸润性乳腺癌及乳腺其他恶性肿瘤等恶性病变者。
对“两癌”筛查异常或可疑病例进行追踪随访,督促其尽早接受进一步诊断及治疗,并及时记录病例相关情况。
(四)社会宣传和健康教育
充分利用电视、网络等媒体,广泛开展妇女“两癌”防治相关政策和核心信息的宣传教育(核心防治信息详见附件4和附件5),形成全社会关心支持“两癌”防治的良好氛围。充分发挥基层医疗卫生机构和妇联等部门宣传教育、组织发动及追踪随访的作用,深入开展社会宣传和健康教育,增强妇女是自身健康第一责任人意识。科学指导广大妇女开展自我健康管理,组织动员适龄妇女接受“两癌”筛查,指导“两癌”高风险人群主动到医疗机构接受筛查。
四、资金安排
(一)经费来源。“两癌”筛查所需经费统筹中央、省、县财政资金予以保障。其中:中央基本公共卫生服务资金补助50元/人,余下78元/人按省与扩权县8:2分担。适当安排培训、宣传动员和质量控制等工作经费,保障民生实事的顺利实施。
(二)补助标准。宫颈癌筛查按49元/人、乳腺癌筛查按79元/人予以保障。具体项目内容及结算标准详见附件6。
(三)拨付办法。补助资金根据目标人数及补助标准据实分配,县财政局按照“当年预拨、次年据实结算”的原则,及时将任务工作量对应资金预拨给初筛机构,确保筛查工作及时开展。
2025年1月15日前,各初筛机构通过县“两癌”筛查管理中心(县妇幼保健院)向县卫生健康局报送2024年度免费筛查情况。县卫健局审核后,于2025年1月27日前报送县财政局作为结算依据。
五、职责分工
(一)县卫生健康局。负责全县“两癌”筛查工作的组织实施,明确初筛机构和转诊机构,成立“两癌”筛查专家组,组织开展业务指导、人员培训、健康教育、质量控制和评估等工作。
(二)县财政局。负责按任务完成情况及时安排拨付补助资金,足额落实地方配套资金,加强资金监管。
(三)县妇女联合会。县妇女联合会以乡镇(街道)为单位做好农村适龄妇女人数的摸排工作,提出当年完成任务的建议方案;负责宣传组织发动目标人群参与“两癌”免费筛查。
(四)“两癌”筛查管理中心(县妇幼保健院)。受县卫生健康局委托,具体负责对辖区“两癌”筛查工作进行业务管理和技术指导。掌握辖区妇女“两癌”防治服务现状;为辖区“两癌”初筛机构、转诊机构提供技术指导;开展“两癌”筛查服务相关业务培训;对辖区“两癌”筛查相关信息进行收集、汇总分析及上报;开展“两癌”筛查质控工作;推广“两癌”防治适宜技术等。
(五)医疗机构。承担“两癌”筛查服务的医疗机构应当配备与开展筛查服务相适应的场所、设施、设备和专业技术人员,建立健全内部管理制度,明确筛查服务流程,不断提高筛查质量和效率。
1.初筛机构。在县筛查管理中心的组织下,主要负责采集病史、妇科检查、初筛取材、乳腺体检、乳腺彩超检查等,针对筛查结果异常或可疑的妇女督促其接受进一步检查和治疗,做好追踪随访,并将相关信息及时上报至县筛查管理中心。在转诊时应当提供转诊对象的基本信息及相关检查资料,填写转诊单。初筛机构获得转诊机构反馈的结果后,应当在5个工作日内通知异常或可疑病例进一步检查或治疗。
2.转诊机构(县人民医院)。负责接收初筛机构转诊的标本及异常或可疑病例,提供宫颈细胞学阅片、HPV检测、阴道镜检查、乳腺X线检查、乳腺活检、组织病理学检查等相关服务。转诊机构应在出结果后5个工作日内反馈至初筛机构。
3.乡镇卫生院(街道社区卫生服务中心)。配合筛查单位做好场所及必要设施提供等工作。
六、保障措施
(一)强化领导,落实责任。各相关单位要认真按照县委、县政府民生实事工作安排部署和本方案要求,落实主体责任,加强部门间的沟通衔接,合力推动工作落地落实。要及时拟定民生项目实施计划,做好政策解读,强化督促指导,有序推进项目实施,及时发现和整改项目实施中存在的问题,确保圆满完成年度各项指标任务。要加强资金监管,规范经费使用,专款专用,确保项目资金高效使用。
(二)健全体系,夯实能力。各相关单位要进一步健全“两癌”综合防治网络,完善工作规范和服务流程,加强区域间、机构间转诊和协作。健全“两癌”筛查专家队伍,加强对管理和专业技术人员的培训,着力提高“两癌”防治宣传教育、咨询指导、疾病筛查及治疗等方面的能力。
(三)加强质控,提升质量。定期对参与“两癌”筛查工作的医疗卫生机构开展全流程质量控制,及时反馈质控结果,指导改进服务质量。初筛机构要完善自我检查和整改机制,定期开展自查,不断提升工作质量。
(四)完善信息,规范报送。各筛查机构要妥善保管“两癌”筛查原始资料,并按照《四川省“两癌”筛查信息管理手册》要求,在四川省妇幼卫生信息平台完成所有个案登记表的录入、审核、报送。要指定专人负责信息管理工作,及时收集、汇总、整理、报送相关数据信息。
县“两癌”筛查管理中心要认真梳理全县项目实施情况,于每月25日前向县卫生健康局报送“四川省农村适龄妇女免费‘两癌’筛查项目民生实事月度报表”,经审核签字后报送市“两癌”筛查管理中心(详见附件7)。
联系人:县卫生健康局基妇股:杨会;电话:0818—5218511
县“两癌”筛查管理中心:谢子宝;电话:0818—5222030
附件:1.宣汉县“两癌”筛查区域划分及2024年筛查任务数分配表
2.细胞学检查流程图
3.乳腺癌筛查流程图
4.宫颈癌防治健康教育核心知识
5.乳腺癌防治健康教育核心知识
6.农村适龄妇女“两癌”免费筛查项目和结算标准
7.四川省农村适龄妇女免费“两癌”筛查项目民生实事
月度报表
附件1
宣汉县“两癌”筛查区域划分及2024年
筛查任务数分配表
筛查单位 | 筛查区域 | 2024年筛查任务数(人) |
县妇幼保健院 | 东乡街道、老君乡、马渡关镇、大成镇、庙安乡 | 3400 |
县第二人民医院 | 南坝镇、峰城镇、南坪镇、 桃花镇、五宝镇 | 1760 |
胡家镇中心卫生院 | 胡家镇、红峰镇、毛坝镇 | 1640 |
新华镇中心卫生院 | 新华镇、石铁乡、黄金镇、 厂溪镇 | 1600 |
土黄镇中心卫生院 | 土黄镇、华景镇、白马镇 | 1600 |
合计10000(人) | ||
备注:民生实事35—64岁农村妇女“两癌”筛查从2022年起实行“三年一周期全覆盖”,各筛查单位要主动会同各级妇联组织按照划分的区域进行统筹安排,确保周期内全面完成上级分配任务。 | ||
附件2

附件3

附件4
宫颈癌防治健康教育核心知识
一、什么是宫颈癌?
宫颈癌是发生于宫颈部上皮组织的恶性肿瘤,高危型人乳头瘤病毒(HPV)持续感染是导致宫颈癌的主要原因。
二、宫颈癌有什么症状?
宫颈癌早期常常没有明显症状,随着病情进展,逐渐出现阴道不规则出血、阴道排液等症状。
三、哪些危险因素与宫颈病变相关?
宫颈癌主要致病因素为高危型HPV持续感染感染,其他高危因素还包括:1.有宫颈癌等疾病相关家族史;2.性生活过早;3.过早生育(18周岁以前);4.正在接受免疫抑制剂治疗;5.多个性伴或性伴有多个性伴;6.HIV感染;7.患有其他性传播疾病;8.吸烟、吸毒者。
四、生活中怎样预防HPV感染?
树立自我保护意识。安全性行为,正确使用避孕套,避免性传播疾病发生。提倡健康生活方式。
五、接种HPV疫苗可以预防宫颈癌吗?
可以。9—45周岁女性均可接种HPV疫苗,在此年龄段越早接种保护效果越好,其中9—15周岁女性是重点人群。
六、定期宫颈癌筛查有必要吗?
有必要。35—64周岁妇女应定期接受宫颈癌筛查,并在发现癌前病变时及时治疗,可以阻断病情向宫颈癌发展。
七、女性间隔多长时间做一次宫颈癌筛查?
适龄妇女每3—5年进行一次宫颈癌筛查。
八、接种HPV疫苗后,是否还需要接受宫颈癌筛查?
需要。无论是否接种HPV疫苗,均需定期接受宫颈癌筛查。
九、国家宫颈癌筛查项目包括哪些内容?
包括妇科检查、宫颈癌初筛(宫颈细胞学检查或高危型HPV检测),初筛结果异常还需要接受阴道镜检查,并根据检查结果确定是否需要进行组织病理学检查。
十、细胞学检查或HPV检测结果异常需要治疗吗?
细胞学检查或HPV检测结果异常都不能作为疾病的最后诊断,应由专业人员结合检查结果和个体情况进行综合评估,再确定进一步检查或治疗方案。
附件5
乳腺癌防治健康教育核心知识
一、什么是乳腺癌?
乳腺癌是发生在乳腺上皮组织的恶性肿瘤,近年来发病人数一直位列我国女性新发恶性肿瘤之首。目前乳腺癌病因尚不完全明确,但通过控制高危因素可降低乳腺癌发病风险。
二、乳腺癌有哪些典型症状和体征?
乳腺癌典型症状及体征表现为:乳房区域无痛性肿块、乳头溢液、皮肤改变、乳头乳晕改变、腋窝淋巴结肿大等。
三、乳腺癌高风险人群有哪些?
1.有乳腺癌或卵巢癌家族史;2.月经初潮过早(<12周岁)或绝经较晚(>55周岁);3.未育、晚育及未哺乳;4.长期服用外源性雌激素;5.活检证实患有乳腺不典型增生;6.绝经后肥胖;7.长期过量饮酒等。
四、如何降低乳腺癌发病风险?
提倡适龄生育和母乳喂养。提倡健康生活方式。积极治疗不典型增生等乳腺高危病变。
五、定期乳腺癌筛查有必要吗?
有必要。早期乳腺癌无明显症状或体征,只有定期乳腺癌筛查,才能尽早发现,通过及时诊断和规范治疗,可显著提高乳腺癌治愈率,提高生存质量。
六、女性间隔多长时间做一次乳腺癌筛查?
35—64岁妇女应至少每2—3年进行乳腺癌筛查。高风险人群可适当增加筛查频率。
七、国家乳腺癌筛查项目包括哪些内容?
包括乳腺体检、乳腺彩色超声检查,如果初筛结果异常后续可能还需要接受乳腺X线检查、乳腺活检及组织病理检查等。
八、发现乳腺癌后怎么办?
确诊乳腺癌后,应尽快到正规医疗卫生机构进行规范化治疗。
九、乳腺癌的预后怎么样?
早期乳腺癌患者的5年生存率可达90%以上,到晚期下降至30%左右。通过早发现、早治疗,乳腺癌完全有可能治愈,治疗费用更低,且患者的生存率和生命质量可得到明显提高。
十、乳腺增生一定会发展成乳腺癌吗?
不一定。乳腺增生是一种良性疾病,恶变的可能性很小,不需要过度恐慌,但不典型增生等乳腺高危病变会有恶变为乳腺癌的可能。
附件6
农村适龄妇女“两癌”免费筛查项目
和结算标准
项目 | 服务内容 | 费用 (元/人/次) | |
宫颈癌筛查 | 宫颈细胞学检查 | 妇科检查 | 15 |
宫颈细胞取材、涂片、固定 | 5 | ||
染色及阅片,TBS描述性报告 | 15 | ||
小计 | 35 | ||
阴道镜检查 | 宫颈细胞学检查或肉眼观察后异常人群(按10%比率测算) | 60 | |
组织病理学检查 | 阴道镜检查或肉眼观察后异常人群(按50%比率测算) | 160 | |
宫颈癌筛查人均经费 | 49 | ||
乳腺癌筛查 | 临床乳腺检查 | 5 | |
乳腺彩色超声检查 | 70 | ||
乳腺X线检查(超声检查后2%的人测算) | 200 | ||
乳腺癌筛查人均经费 | 79 | ||
附件7
四川省农村适龄妇女免费“两癌”筛查项目民生实事月度报表
统计时段:2024年1月至月
地区 | 任务完成情况(人、%) | 检出情况(人) | 治疗情况(人) | 转诊情况(人次) | 未达到进度说明 | |||||||||||||
目标任务数 | 宫颈癌筛查完成情况 | 乳腺癌筛查完成情况 | 宫颈癌筛查检出情况 |
| 乳腺癌筛查检出 情况 | 宫颈癌及癌前病变治疗人数 | 乳腺癌治疗人数 | 宫颈癌初筛后转诊到其他诊断机构人次数 | 乳腺癌初筛后转诊到其他诊断机构人次数 | |||||||||
筛查人数 | 结案人数 | 任务完成率 | 筛查人数 | 结案人数 | 任务完成率 | 宫颈癌检出人数 | 宫颈癌前病变检出人数 | 宫颈癌早期诊断人数 | 乳腺癌检出人数 | 乳腺癌前病变检出人数 | 乳腺癌早期诊断人数 | |||||||
**市 |
|
|
|
|
|
|
|
|
|
|
|
|
|
|
|
|
|
|
**区 |
|
|
|
|
|
|
|
|
|
|
|
|
|
|
|
|
|
|
填报单位(盖章):填报人:填报时间:
填报说明:1.任务数:本项目地区承担农村适龄妇女“两癌”筛查项目民生实事的年度任务数(每月均用本项目地区本年度同一任务数上报);
2.宫颈癌检查人数:指项目本地区统计时段内进行妇科检查,并进行到宫颈细胞学检查或HPV检查的累计人数(即初筛人数);
3.乳腺癌检查人数:指项目本地区统计时段内进行乳腺临床及彩色超声检查的累计人数(即初筛人数);
4.结案人数:指项目本地区统计时段内进行宫颈癌/乳腺癌检查,并获得最后诊断、治疗和失访的累计人数(包括:检查结果为正常、异常及失访的人数);
5.宫颈癌人数:最后诊断为微小浸润癌和浸润癌的人数之和(累计人数);
6.宫颈癌前病变人数:最后诊断为高级别鳞状上皮内病变和原位腺癌的人数之和(累计人数);
7.宫颈癌早期诊断人数:最后诊断为高级别鳞状上皮内病变、原位腺癌和微小浸润癌之和(累计人数)
8.乳腺癌人数:最后病理诊断为小叶原位癌、导管原位癌、浸润性小叶癌、浸润性导管癌以及其他乳腺恶性肿瘤的人数总和(累计人数);
9乳腺癌前病变:最后诊断为不典型增生的人数(累计人数);
10.乳腺癌早期诊断人数:TNM分期为0期、【期及Ⅱa期的人数之和(累计人数);
11.转诊人数:未在同一医疗保健机构接受完整筛查治疗服务,由初筛机构转诊至转诊机构的人次数,如宫颈初筛在甲机构,阴道镜转诊至乙机构,纳入统计1次,再转诊至丙机构进行治疗可再次纳入统计1次(患者自行选择就诊机构不纳入统计(外送至第三方机构不纳入统计));
12.累计是指1月至报表当月统计日累计数据。